添加到电脑桌面
添加到电脑桌面,以后点击桌面图标一键打开,无需搜索,非常快捷!
立即添加
登录
试卷网首页
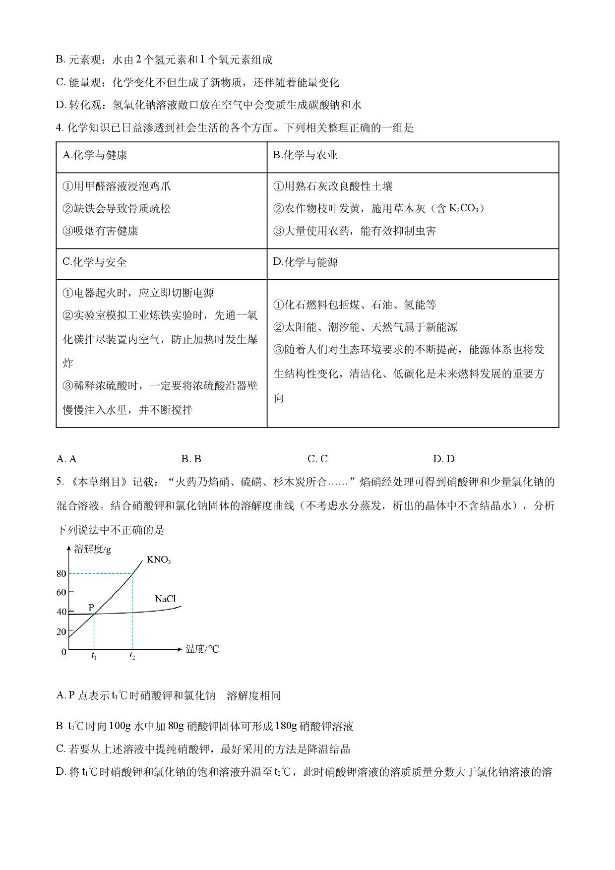
中考试卷
高考试卷
试卷网首页
中考试卷
中考化学
2025年四川省遂宁市中考化学真题.docx
四川省
2025年
遂宁市
DOCX
6页
2026-02-23
免费试卷
温馨提示:当前文档最多只能预览 2 页,若文档总页数超出了 4 页,请下载原文档以浏览全部内容。
剩余4页未读,
下载浏览全部
收藏
已收藏
喜欢
已喜欢
试卷描述
2025年四川省遂宁市中考化学真题.docx
试卷网
该试卷于
上传
推荐试卷
最新试卷
2025年陕西省中考化学真题.docx
2025年辽宁省中考化学真题.docx
2025年江苏省镇江市中考化学真题.docx
2025年江苏省盐城市中考化学真题.docx
2025年江苏省无锡市中考化学真题.docx
2025年江苏省扬州市中考化学真题 .docx
2025年江苏省徐州市中考化学真题.docx
2025年江苏省宿迁市中考化学真题.docx
2025年新疆中考化学真题.docx
2025年山西省中考化学真题 .docx
联系微信
如有对试题网建议请联系
客服