添加到电脑桌面
添加到电脑桌面,以后点击桌面图标一键打开,无需搜索,非常快捷!
立即添加
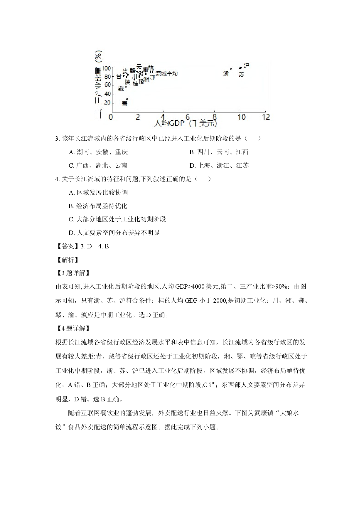
登录
试卷网首页
中考试卷
高考试卷
试卷网首页
高一试卷
高一地理下册
地理试卷湖南娄底市部分高中2024-2025学年高一下学期4月期中联考试题(含参考解析).docx
期中试卷
含参考答案
2025年
2024年
湖南省
娄底市
DOCX
16页
2026-02-17
免费试卷
温馨提示:当前文档最多只能预览 2 页,若文档总页数超出了 4 页,请下载原文档以浏览全部内容。
剩余14页未读,
下载浏览全部
收藏
已收藏
喜欢
已喜欢
试卷描述
地理试题试卷湖南娄底市部分高中2024-2025学年高一下学期4月期中联考试题(含参考解析).docx
试卷网
该试卷于
上传
推荐试卷
最新试卷
江西上高中学2023-2024学年高二下学期期中考试地理试卷.docx
广东深圳市名校联考2023-2024学年高一下学期4月期中考试 地理 .docx
地理试卷陕西部分学校2024-2025学年高一下学期期中联考试题(含参考解析).docx
地理试卷陕西榆林市2024-2025学年高一下学期4月期中试题(含参考解析).docx
地理试卷陕西安康市2024-2025学年高一下学期4月期中试题(含参考解析).docx
地理试卷陕西多校联考2024-2025学年高一下学期4月期中试题(含参考解析).docx
地理试卷辽宁名校联盟2024-2025学年高一下学期4月月考试题(含参考解析).docx
地理试卷辽宁县域重点高中2024-2025学年高一下学期期中考试试题(含参考解析).docx
地理试卷湖南长沙市宁乡市2023-2024学年高一下学期学业水平合格性测试模拟试题(含参考解析).docx
地理试卷湖南邵阳市隆回县2023-2024学年高一下学期期末考试试题(含参考解析).docx
联系微信
如有对试题网建议请联系
客服